Un éditeur de texte pour enregistrer et conserver☘
Un éditeur de texte est un logiciel qui permet de rédiger des textes (par exemple des programmes) en texte brut, c’est-à-dire sans aucun formatage.
Un éditeur de texte dédié à la programmation offre également au programmeur une coloration syntaxique qui facilite la lecture et la compréhension du code ainsi que diverses options telles que l’indentation automatique, la numérotation des lignes ou le surlignage des parenthèses qui se correspondent.
Exemples d'éditeur de texte :
-
geany (linux, windows).
Cet éditeur de texte inclut les fonctions élémentaires d'un environnement de développement intégré. -
spyder.
Cet éditeur, dédié à la programmation python, est par exemple installé automatiquement lorsque vous installez anaconda. -
gedit (linux)
-
notepad++ (windows)
Note
En NSI, on utilisera les éditeurs Geany et Spyder.
Exécuter un programme☘
Supposons que nous ayons écrit dans un fichier texte nommé fonctions.py le script suivant:
def carre(x):
"""
x -- nombre (int ou float)
renvoie le carré de x
"""
return x*x
def cube(x):
"""
x -- nombre (int ou float)
renvoie le cube de x
"""
return x * carre(x)
def inverse(x):
"""
x -- nombre (int ou float) non nul
renvoie l'inverse de x
"""
return 1/x
On commence par ouvrir un terminal directement par clic droit dans le dossier du fichier .py puis on peut utiliser notre script ainsi:
$ python3
Python 3.8.2 (default, Jul 16 2020, 14:00:26)
[GCC 9.3.0] on linux
Type "help", "copyright", "credits" or "license" for more information.
>>> from fonctions import carre, cube, inverse
>>> carre(4)
16
>>> cube(2)
8
>>> inverse(0.25)
4.0
>>>
Changer de répertoire avec le shell☘
Téléchargez ce dossier zippé puis dézippez le.
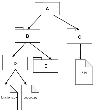
Ce dossier contient une arborescence de dossiers et fichiers .py:

On voit cinq répertoires A, B, C, D, E et trois fichiers python.
Important
On utilisera également le mot répertoire en lieu et place du mot dossier.
Si on ouvre le terminal à l'intérieur du répertoire B (le chemin indiqué
à l'invite de commande se présente sous la forme .../A/B)
et que l'on veuille exécuter le fichier fonctions.py,
on peut utiliser la commande cd:
.../A/B $ cd D
Important
cd sont les initiales de change directory (changer de répertoire).
Le répertoire de travail est alors D. On peut afficher le contenu de ce répertoire avec la commande ls:
.../A/B/D $ ls
coucou.py fonctions.py
Important
ls est une abréviation de list. On liste le contenu du répertoire.
Et on peut alors faire appel à l'un des scripts:
A/B/D $ python3
>>> from fonctions import cube
>>> cube(4)
64
A vous☘
- Faîtes les étapes décrites ci-dessus.
- Ouvrir ensuite le terminal dans le répertoire A, changer de répertoire avec
cdpour vous placer dans le répertoire D et exécuter le fichier coucou.py en l'important dans une session python3.
Détails
On ouvre le terminal dans le répertoire A (clic droit, ouvrir dans un terminal en se plaçant dans A).
On modifie le répertoire de travail avec la commande cd:
.../A $ cd B/D
.../A/B/D $ ls
coucou.py fonctions.py
Puis:
/A/B/D $ python3
>>> import coucou
Vous devriez alors voir le résultat de l'exécution du fichier coucou.py (qui affiche son nom et son chemin complet depuis la racine).
"Remonter" dans l'arborescence.☘
Si le répertoire de travail indiqué dans le terminal est B, comment le modifier en C?
On remonte d'un niveau (on sort donc de B) avant de plonger dans C de la façon suivante:
/A/B $ cd ../C
- Testez cela et vérifiez que le répertoire de travail est bien maintenant C.
- Faites afficher le contenu du répertoire C avec
ls. - Exécuter le fichier python contenu dans C.
Détails
.../A/B $ cd ../C
.../A/C $ ls
a.py
.../A/C $ python3 a.py
Vous devriez voir s'afficher le nom du fichier et son chemin complet depuis la racine.
Modifier le répertoire par une commande Python☘
Python présente des commandes équivalentes à celles du shell linux utilisées ci-dessus.
Ouvrez un terminal dans le dossier A (clic droit dans A...).
Puis testez la séquence suivante:
.../A $ python3
>>> import os
>>> os.chdir("B/D")
>>> os.listdir()
>>> import fonctions
>>> fonctions.carre(3)
>>> help(fonctions)